GOData

GOData
is an option to decide if the lattice vectors or a picture of the cell is required.

DetailsDetails

  • For the generation of the images the Mathematica command LatticeData is used.
  • Typical values for GOData are:
  • "Basis"Provides the basis vectors
    "Image"Provides an image of the lattice. In this case GOBravais does not influence the image.
  • This option is used by: GTBravaisLattice

ExamplesExamplesopen allclose all

Basic Examples  (1)Basic Examples  (1)

First load the package:

In[1]:=
Click for copyable input

For a simple cubic cell.

In[2]:=
Click for copyable input
Out[2]=

For a hexagonal cell.

In[3]:=
Click for copyable input
Out[3]=

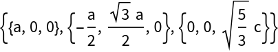
Only the unit vectors.

In[4]:=
Click for copyable input
Out[4]=