GTTbSymmetrySingleBand

GTTbSymmetrySingleBand[eigenvector,orbitals, character table] performs the symmetry analysis for the band defined by the eigenvector. The point group of the system has character table. orbitals are the cartesian real spherical harmonics with respect to the basis set of the calculation.

DetailsDetails

ExamplesExamplesopen allclose all

Basic Examples  (1)Basic Examples  (1)

First load the package:

In[1]:=
Click for copyable input

Read the wavefunctions

In[2]:=
Click for copyable input
  • See example to GTTbSymmetryBands : the 50th component of wave correspons to the X point. The 4th and 5th bands belog to X5.
  • In[3]:=
    Click for copyable input
    Out[3]=
    In[4]:=
    Click for copyable input
    Out[4]=
    In[5]:=
    Click for copyable input
    Out[5]=

    The symmetry group at X is D4h. Thus we need the corresponding character table.

    In[6]:=
    Click for copyable input
    Out[6]=
    In[7]:=
    Click for copyable input

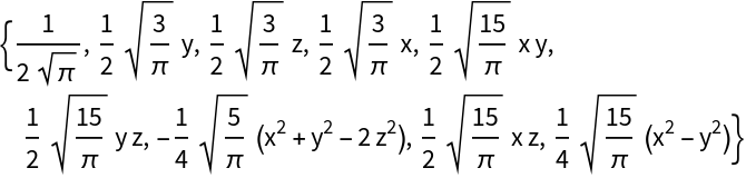
    The list of orbitals is given by

    In[8]:=
    Click for copyable input
    In[9]:=
    Click for copyable input
    Out[9]=
    In[10]:=
    Click for copyable input
    Out[10]=
    In[11]:=
    Click for copyable input
    Out[11]=

    Both bands belong to the irreducible representation X5.