GROUP THEORY SYMBOL
GTCartesianTesseralHarmonicY

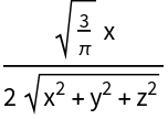
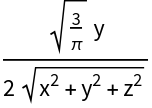
GTCartesianTesseralHarmonicY[l,m,x,y,z]
gives the tesseral harmonic in cartesian form.
DetailsDetails
- The cartesian tesseral harmonics are implemented according to the definition of Podolskiy and Vogl.
-
- See: A.V. Podolskiy, P. Vogl,Compact expression for the angular dependence of tight-binding Hamiltonian matrix elements, Phys. Rev. B 69, 233101 (2004)
- W. Hergert, M. Geilhufe, Group Theory in Solid State Physics and Photonics. Problem Solving with Mathematica, Appendix A.