GROUP THEORY SYMBOL
GTCartesianSphericalHarmonicY

GTCartesianSphericalHarmonicY[l,m,x,y,z]
gives the spherical harmonic in cartesian form.
DetailsDetails
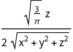
- With the help of the associate Legendre polynomials
(see LegendreP) the spherical harmonics can be calculated in cartesian form, with the help of the following equation:
-
- The result is normalized using the following pre-factor:
.
- See: W. Hergert, M. Geilhufe, Group Theory in Solid State Physics and Photonics. Problem Solving with Mathematica, Appendix A.