GROUP THEORY SYMBOL
GTWignerProjectionOperator
GTWignerProjectionOperator[group,irep,l,m,i,j]
applies the projection operator on spherical harmonics.
DetailsDetails
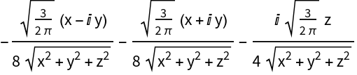
- The rotation of spherical harmonics, using Euler angles is given by
.
is an arbitrary group element and
is 1 for proper and -1 for improper rotations.
is the WignerD-Function. Using this definition, the projection operator of the
column and the
row of the irreducible representation
can be calculated by 
- The spherical harmonics are given algebraically and can be replaced by SphericalHamonicY or GTTesseralHarmonicY.
- The following option can be given:
-
GOFast GOFastValue Controls the input validation - See: W. Hergert, M.Geilhufe, Group Theory in Solid State Physics and Photonics. Problem Solving with Mathematica