GROUP THEORY SYMBOL
GTGetIrep

GTGetIrep[group,index, (character table)]
gives the representation matrices of an irreducible representation (denoted by its index within the character table).
DetailsDetails
- The character table is an optional input. Providing the character table will fasten the calculation.
- Representation matrices are not unique. They are defined up to a similarity transformation.
- The following options can be given:
-
GOFast GOFastValue Skips the input validation GOMethod "Flodmark" Decides, which method to use GOlmax 15 Sets the maximal value of l,
if Method "Cornwell" is specified - Possible methods are
-
"Flodmark" The module uses the algorithm of Flodmark and Blokker. Matrices for the irreducible representation are obtained from installing the regular representation and projecting to a sub space. (S. Flodmark, E. Blokker, International Journal of Quantum Chemistry,1967, 1, 703-711). "Cornwell" The module only works for groups based on spatial rotation matrices ( ,
). It is based on the application of the character projection operator on tesseral harmonics.
- GOlmax
specifies the highest value of l for this generation. As soon as a symmetry adapted basis is found representation matrices can be generated from the transformation behaviour of the basis functions. (J. Cornwell, Academic Press, 1984) "Induction" Uses an induction method as implemented in GTGetIreps. - See: W. Hergert, M. Geilhufe, Group Theory in Solid State Physics and Photonics. Problem Solving with Mathematica, chapter 5.2
ExamplesExamplesopen allclose all
Basic Examples (2)Basic Examples (2)
In[1]:= |
The example is based on the point group
Estimate the number of irreducible representations:
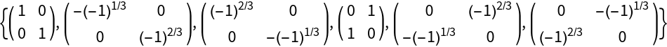
Calculate representation matrices of the irreducible representations:
GTGetIrep needs to calculate the character table. If the character table is provided, it is possible to save time for the evaluation: