GROUP THEORY SYMBOL
GTCharProjectionOperator

GTCharProjectionOperator[classes,characters,function,arguments]
applies the character projection operator corresponding to an irreducible representation to a certain function with given arguments.
DetailsDetails
- The Projection operator
is given by
, where
is the dimension of the irreducible representation
with characters
and
is the order of the group.
- The characters
belong to an irreducible representation
of the group
. The classes and characters can be obtained using the command GTCharacterTable.
- arguments is a list of arguments used by function, typically {x,y,z}
- The following option can be given:
-
GOFast False Controls the input validation GOLattice {{0, 0, 0}, {0, 0, 0}, {0, 0, 0}} Gives the lattice vectors in case space groups are considered - See: W. Hergert, M. Geilhufe, Group Theory in Solid State Physics and Photonics. Problem Solving with Mathematica, chapter 5.9
ExamplesExamplesopen allclose all
Basic Examples (3)Basic Examples (3)
In[1]:= |
For the example, the point group is considered. The point group and the character table are generated as follows:
The function will be analysed.
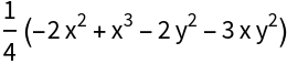
In[4]:= |
The application of the character projection operator, related to the irreducible representation can be calculated by:
and for the irreducible representation by:
The same formalism holds for the irreducible representation ,
GTCharProjectionOperator can also be used for 3-dimensional vector functions.
In[1]:= |
If a double group is installed, GTCharProjectionOperator can be used for spinor functions.
In[3]:= |