GROUP THEORY SYMBOL
GTGroupGlp

GTGroupGlp[point group,vectors glp]
gives the subgroups of a given point group and their generators, leaving the vectors
invariant.
DetailsDetails
- The vectors
represent a minimal set
of vectors of the coordination sphere
such, that all vectors of the coordination sphere can be transformed in one of the
vectors by a point group operation. GTGroupGlp calculates the subgroups
of
consisting of operations leaving the vectors
invariant. Also the generators of those groups are given.
- The vectors will be used in Egorov's method to construct tight-binding Hamiltonians.
- The following options can be given:
-
GOVerbose True Controls the output of additional information GOCharTabs True Controls the output of character tables GOIrepNotation "Bouckaert" Spezifies the notation of iireducible representation - See: R.F. Egorv, B.I. Reser, V.P. Shirkovskii,Consistent Treatment of Symmetry in the Tight Binding Approximation, phys. stat. sol. 26, 391 (1968)
- W. Hergert, M. Geilhufe, Group Theory in Solid State Physics and Photonics. Problem Solving with Mathematica, chapter 9.4.2
ExamplesExamplesopen allclose all
Basic Examples (1)Basic Examples (1)
In[1]:= |
The point group is considered.
qv contains the vectors of shell
which are the minimum set to recalculate all vectors of the coordination sphere by point group operations. In case of the simple cubic lattice it is one vector per coordination sphere.
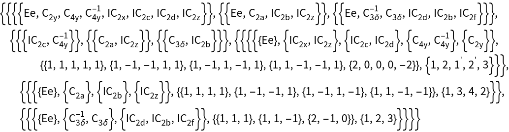
In[3]:= |
The groups of the vectors
, i.e. all operations of the point group, leaving the vectors constant, are generated.
The second list in gqlp gives the generators of the groups .