GTMagnetic

GTMagnetic [logical]
sets the global variable GTmaggrpq and determines if magnetic point group are taken into account.

DetailsDetails

  • The global variable GTmaggrpq is a logical variable determining if magnetic groups are taken into account. The corresponding symmetry elements denoting the antiunitary symmetries are labeled with a prime.
  • See: W. Hergert, M. Geilhufe, Group Theory in Solid State Physics and Photonics. Problem Solving with Mathematica, chapter 4.3

ExamplesExamplesopen allclose all

Basic Examples  (1)Basic Examples  (1)

First load the package:

In[1]:=
Click for copyable input

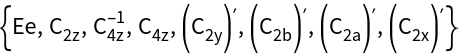
Install a magnetic point group

In[2]:=
Click for copyable input
Out[2]=

If magnetic groups are taken into account, the matrix representations of the symmetry elements obtain an additional row and collumn:

In[3]:=
Click for copyable input
Out[3]//MatrixForm=
In[4]:=
Click for copyable input
Out[4]//MatrixForm=