GROUP THEORY SYMBOL
- Tutorials
-
See Also
- GTChangeRepresentation
- GTCharacters
- GTCrystalSystem
- GTExtraRepresentations
- GTGroupFromGenerators
- GTGroupHierarchy
- GTGroupNotation
- GTGroupOfK
- GTGroupOrder
- GTIcosahedronAxes
- GTInstallAxis
- GTInstallColorGroup
- GTIrepMatrixView
- GTPointGroups
- GTRegularRepresentation
- GTReinstallAxes
- GTReorderCharacterTable
- GTShowSymmetryElements
- GTSymmetryElementQ
- GTTableToGroup
- GTWhichRepresentation
- Related Guides
GTInstallGroup

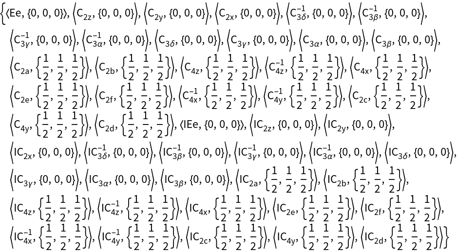
GTInstallGroup[group]
gives a faithful representation of a crystallographic group.
DetailsDetails
- Within the GTPack the crystallographic point groups are implemented. According to GORepresentation, GTInstallGroup gives O(3) matrices for ordinary crystallographic point groups, SU(2) matrices for double groups without inversion, matrices of the outer direct product SU(2)x{1,-1} for double with inversion ("SU(2)xS"), as well as O(2) matrices for 2-dimensional point groups.
- group can be a string or a symbol in Schönflies notation or a symbol in bracketing bars in Hermann–Mauguin notation.
- Use GTGroupHierarchy to get an overview over all installed crystallographic point groups.
- The palette contains all point group symbols and can be used to install the corresponding groups.
- The following options can be given:
-
GORepresentation "O(3)" Defines the used standard representation GOVerbose True Controls the output of additional information - See: W. Hergert, M. Geilhufe, Group Theory in Solid State Physics and Photonics. Problem Solving with Mathematica, chapter 3.1, 5.1.
See AlsoSee Also
GTChangeRepresentation GTCharacters
GTCrystalSystem
GTExtraRepresentations
GTGroupFromGenerators
GTGroupHierarchy
GTGroupNotation
GTGroupOfK
GTGroupOrder
GTIcosahedronAxes
GTInstallAxis
GTInstallColorGroup
GTIrepMatrixView
GTPointGroups
GTRegularRepresentation
GTReinstallAxes
GTReorderCharacterTable
GTShowSymmetryElements
GTSymmetryElementQ
GTTableToGroup
GTWhichRepresentation