GROUP THEORY SYMBOL
GTExtraRepresentations

GTExtraRepresentations[character table]
extracts the extra representations from the character table of a double group.
DetailsDetails
- Double groups can be installed by means of GTInstallGroup. The complete character is calculated as usual with GTCharacterTable. For applications it is often enough to know the extra representations. Those representations are easily extracted by GTExtraRepresentations.
- The following options can be given:
-
GOFast GOFastValue GOVerbose True Controls the output of additional information GOIrepNotation {} Incorporates a list of predefined names for irreducible representations - See: W. Hergert, M. Geilhufe, Group Theory in Solid State Physics and Photonics. Problem Solving with Mathematica, chapter 8.4
ExamplesExamplesopen allclose all
Basic Examples (1)Basic Examples (1)
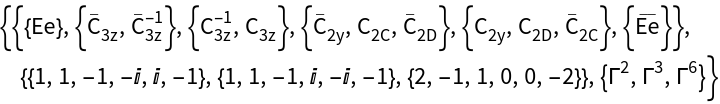
In[1]:= |
The following double goup is considered:
Now the character table is constructed:
Often only the extra representations play an important role. The command GTExtraRepresentations extracts the extra representations of the character table.