GROUP THEORY SYMBOL
-
See Also
- GTAllStructures
- GTBandsPlotImprove
- GTBlueRed
- GTCFDatabaseInfo
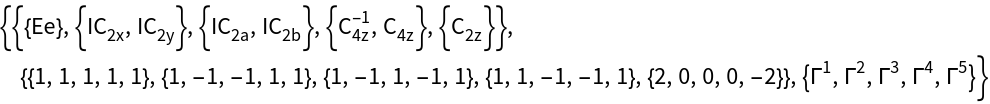
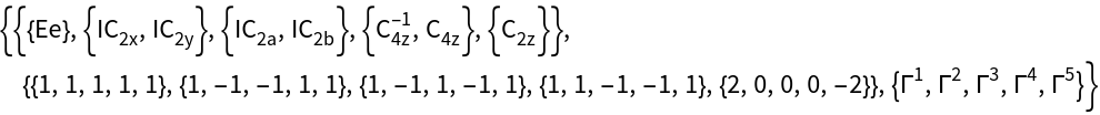
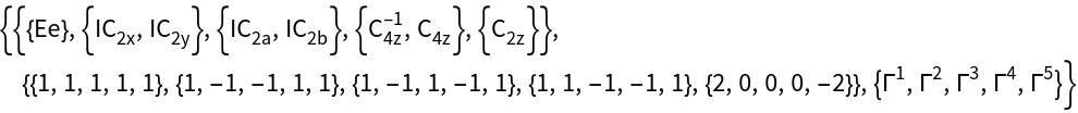
- GTCharacterTable
- GTClassMultTable
- GTClebschGordanTable
- GTCompatibility
- GTCrystalData
- GTCrystalFieldSplitting
- GTExtraRepresentations
- GTHamiltonianPlot
- GTIrepMatrixView
- GTMultTable
- GTPhSymmetryBands
- GTPhSymmetryField
- GTPwEmptyLatticeIrep
- GTPwSymmetrizePW
- GTReorderCharacterTable
- GTShells
- GTSOCSplitting
- GTSpaceGroups
- GTSymmetryBasisFunctions
- GTTbNumberOfIntegrals
- GTTbSymmetryBandStructure
- GTTubeParameters
- GTCharacterTableP
- Related Guides
GTSetTableColors
GTSetTableColors[colors]
is used to change the color scheme of the tables in GTPack.
DetailsDetails
- The Tables in GTPack are mainly constructed by means of Grid. Hence, the colors in the tables can be changed easily. Few protected variables are used to define a coloring scheme. Colors are used in the same way in all tables in GTPack. The change of the color scheme influences all tables in GTPack in the same way.
- colors = {GTBackGroundColor1, GTBackGroundColor2, GTCornerColor, GTDividerColor1, GTDiverColor2}
-
GTBackGroundColor1 Pink Defines the backgroud colors of the cells GTBackGroundColor2 Gray Defines the backgroud colors of the cells GTCornerColor Yellow Defines the color of the upper left corner of the table GTDividerColor1 Red Defines the color of the dvider after first row and first column GTDividerColor2 Blue Defines the color of other dividers - The following option can be given:
-
GOVerbose True Controls the output of additional information - See: W. Hergert, M. Geilhufe, Group Theory in Solid State Physics and Photonics. Problem Solving with Mathematica
See AlsoSee Also
GTAllStructures
GTBandsPlotImprove
GTBlueRed
GTCFDatabaseInfo
GTCharacterTable
GTClassMultTable
GTClebschGordanTable
GTCompatibility
GTCrystalData
GTCrystalFieldSplitting
GTExtraRepresentations
GTHamiltonianPlot
GTIrepMatrixView
GTMultTable
GTPhSymmetryBands
GTPhSymmetryField
GTPwEmptyLatticeIrep
GTPwSymmetrizePW
GTReorderCharacterTable
GTShells
GTSOCSplitting
GTSpaceGroups
GTSymmetryBasisFunctions
GTTbNumberOfIntegrals
GTTbSymmetryBandStructure
GTTubeParameters
GTCharacterTableP